文库 业务文档 总务工作

人力资源经理总结及计划.docx

2024年 DOCX   16页   下载2489   2024-03-18   浏览307866   收藏6051   点赞4365   评分-   免费文档
人力资源经理总结及计划.docx 第1页
人力资源经理总结及计划.docx 第2页
人力资源经理总结及计划.docx 第3页
人力资源经理总结及计划.docx 第4页
人力资源经理总结及计划.docx 第5页
人力资源经理总结及计划.docx 第6页
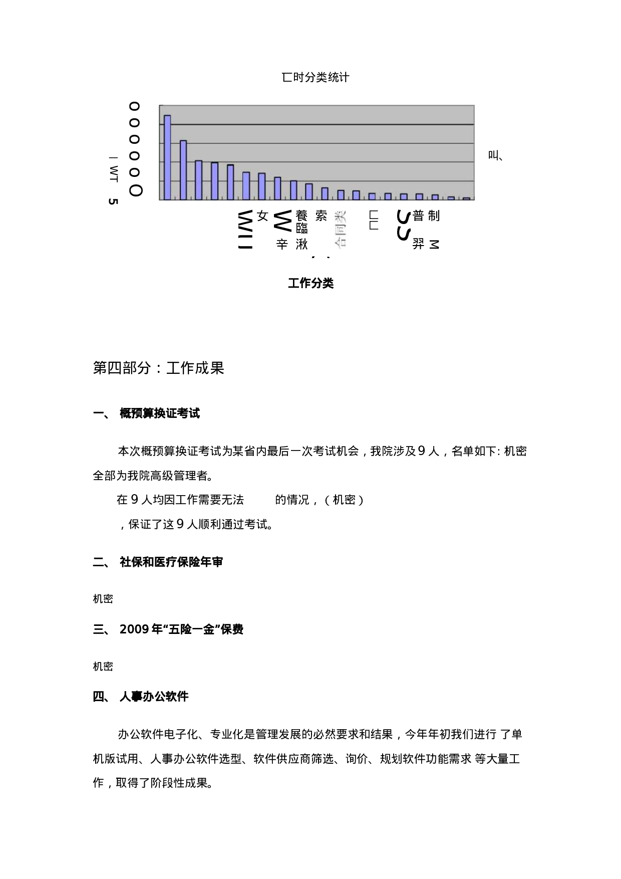
XXX 股份有限公司 人资经理总结和计划 第一 部分 :工时统计 4 第二部分:工作分类 4 第三部分:工作分类统计分析 6 第四部分:工作成果 7 一 、 概预算换证考试 7 二 、 社保和医疗保险年审 7 三 、 2009 年 “五险 一金” 7 四 、 人事办公软件 7 五 、 绩效考评 8 六 、 参与新办公楼搬家工作 8 七 、 人员招聘 8 八 、 入职工作 8 九 、 离职工作 9 十、概预算网上申报换证工作 9 H ^一、职称申报工作 9 十二、保险缴纳、增减员、报表工作 9 十三、培训工作 9 十四、岗级调整工作 10 十五、合同类工作 10 十六、档案户口类工作 10 十七、数据维护和报表工作 10 十八、参会、发布通知、编写文件类工作 10 十九、解问答疑、为协助公司提供协助 11 二十、全院学历、岗级、工龄工资调整测算 11 二十一、股权分配测算 11 二十二、竞聘上岗文件编写 11 二十三、绩效考评文件编写 11 二十四、制度文件编写 11 二十五、对某人事专员进行传帮带 11 二十六、党员工作 12 二十七、研究公司治理专题 12 二十八、研究 E-learning 在线培训考试系统问题 12 二十九、人才定制化培养 12 三十、事业编制职称外语和年终考评工作 13 三十一、十一全院培训 13 三十二、培训资料汇总进行目录编辑工作 13 三十三、研究工资体系建立和调整机制问题 13 三十四、应届毕业生修改毕业设计题目工作 13 三十五、新年晚会准备工作 13 第五部分:人事管理向人力资源管理转型 14 第六部分: 2011 年工作计划 15 一 、 服务意识 15 二 、 服务能力 16 三 、 月艮务平台 16 四 、 服务项目 16 五 、 服务层次 17 六 、 服务体系 17 七 、 服务规范 17 八 、 服务满意度 18 第一部分:工时统计 2010 年全年为 52 周,扣除我享有的法定婚假 3 周,则实际工作周为 49 周, 按照每周 5 个工作日计算为 245 天,其中包含国家法定假日元旦 1 天,春节 3 天,清明节 1 天,五一劳动节 1 天,端午节 1 天,中秋节 1 天,国庆节 3 天,共 计 11 天,不考虑法定年休假时间,则我 2010 年法定工作日为 245-11=234 天。 而我时间工作时间统计如下: 本次统计的工作时间范围为 2010 年 1 月 1 日 T2 月 31 日,本人是从 3 月 15 日起编写电子版工作日记,连续统计了 37 个标准工作周,占应统计 49 个标准工 作周的 76%, 从统计学角度应具有代表性。 37 个工作周我实际工作日为 230. 12 天,则我 2010 年全年实际工作日约为 230. 12* (49/37) =304. 75 个工作日。 加班天数: 340. 75-234=70. 75 个工作日 国家规定职工月工作日为 20. 83 天,则加班 70. 75 天约折合 3. 4 个月。 特别说明的是工作日记属于不完全统计,实际工时一定远大于统计工时。 第二部分:工作分类 根据工作记录我全年工作分为 20 项,每个工作项进行了分类统计,详细统 计参加每周工作记录和《 3-12 月工作统计分析》表,各项工作内容的汇总时长 见表 lo 表 1: 工时分类统计表 序号 工作类别 折合工作巳 1 咨询类 2.85 2 入职类 4. 72 3 离职类 3. 54 4 事务类 44. 63 5 报表类 10. 14 6 数据类 14. 72 7 招聘类 31. 58 8 保险类 19. 63 9 岗级类 1. 75 10 合同类 4. 96 11 培训类 18. 54 12 通知类 3.40 13 会议类 6. 26 14 文件类 20. 63 15 绩效类 8. 64 16 概预算 3.44 17 职称类 11.88 18 协作类 1. 15 19 工作研究 14. 06 20 档案户口 3.63 合计工时 230. 12 20 项工作分别定义如下: 1 、 咨询类:是指职工向我咨询关于其本人的保险、待遇、如何请病假婚假事 假、如何办理公积金买房等问题占用的工时。 2 、 入职类:是指员工入职手续办理相关工作所占时长。 3 、 离职类:是指员工离职手续办理相关工作所占时长。 4 、 事务类:是指电话、邮件等日常工作以及门卡制作、新楼搬家、新年晩会 等难以归类的工作内容。 5 、 报表类:是指为公司各部门提供其所需的统计报表工作,主要服务对象是 财务部、行政部门及院领导。 6 、 数据类:是指员工各种基础数据的维护和更新工作。 7 、 招聘类:是指围绕公司招聘所做的各种工作。 8 、 保险类:是指围绕为公司员工缴纳 “五 险一金 ”服 务所做的各种工作。 9 、 岗级类:是指为岗级调整所作的各种工作。 1 0 、 合同类:是指为员工签订合同做的工作。 1 1 、 培训类:是指为员工培训服务做的工作。 1 2 、 通知类:是指发布各类文件、短信通知、邮件群发及电话通知所占用的工 时。 1 3 、 会议类:是指为参加各种工作会议所占用的工时。 1 4 、 文件类:是指按照上级领导要求编写各种文件所占用工时。 1 5 、 绩效类:是指年初绩效考评工作占用的工时。 1 6 、 概预算:是指概预算考试、换证申报等工作占用的工时。 1 7 、 职称类:是指职称申报、考试等工作占用的工时。 1 8 、 协作类:是指为协助公司收集毕业证、组织考试、协助其办理合同保险所 做的工作。 1 9 、 工作研究:是指为解决在工作中遇到的新问题新情况而进行研究、讨论、 收集信息等做的工作。 2 0 、 档案户口:是指为员工办理档
人力资源经理总结及计划.docx
下载提示

1、如果首次下次不成功,可再次下载。已购买资料可重复下载,机构或个人下载自己上传的资料不回扣除积分;

2、部分文件过大,经过压缩拆分处理,如需要源文件或者下载出错请发邮件到客服邮箱yy@fanyuetech.cn备注文件名以及个人账号

3、如果浏览器启用了拦截弹出窗口,此功能有可能造成下载失败,请临时关闭拦截;

4、如果是资料包下载后请先用解压软件解压,再使用对应软件打开。软件版本较低时请及时更新;

5、如果下载使用过程中还遇到其它问题可以到【帮助中心】查看解决方法;

6、数据整理不易,最终解释权归本站所有,如有侵权等问题请与客服联系或【点此反馈