文库 教育学习 小学 三年级下 数学

三年级下册数学一课一练-6.3 统计例3 西师大版(2014秋)(含答案).docx

DOCX   4页   下载29   2024-06-05   浏览32435   收藏89   点赞11   评分-   1090字   10积分
三年级下册数学一课一练-6.3 统计例3 西师大版(2014秋)(含答案).docx 第1页
三年级下册数学一课一练-6.3 统计例3 西师大版(2014秋)(含答案).docx 第2页
三年级下册数学一课一练-6.3 统计例3 西师大版(2014秋)(含答案).docx 第3页
三年级下册数学一课一练-6.3 统计例3 西师大版(2014秋)(含答案).docx 第4页
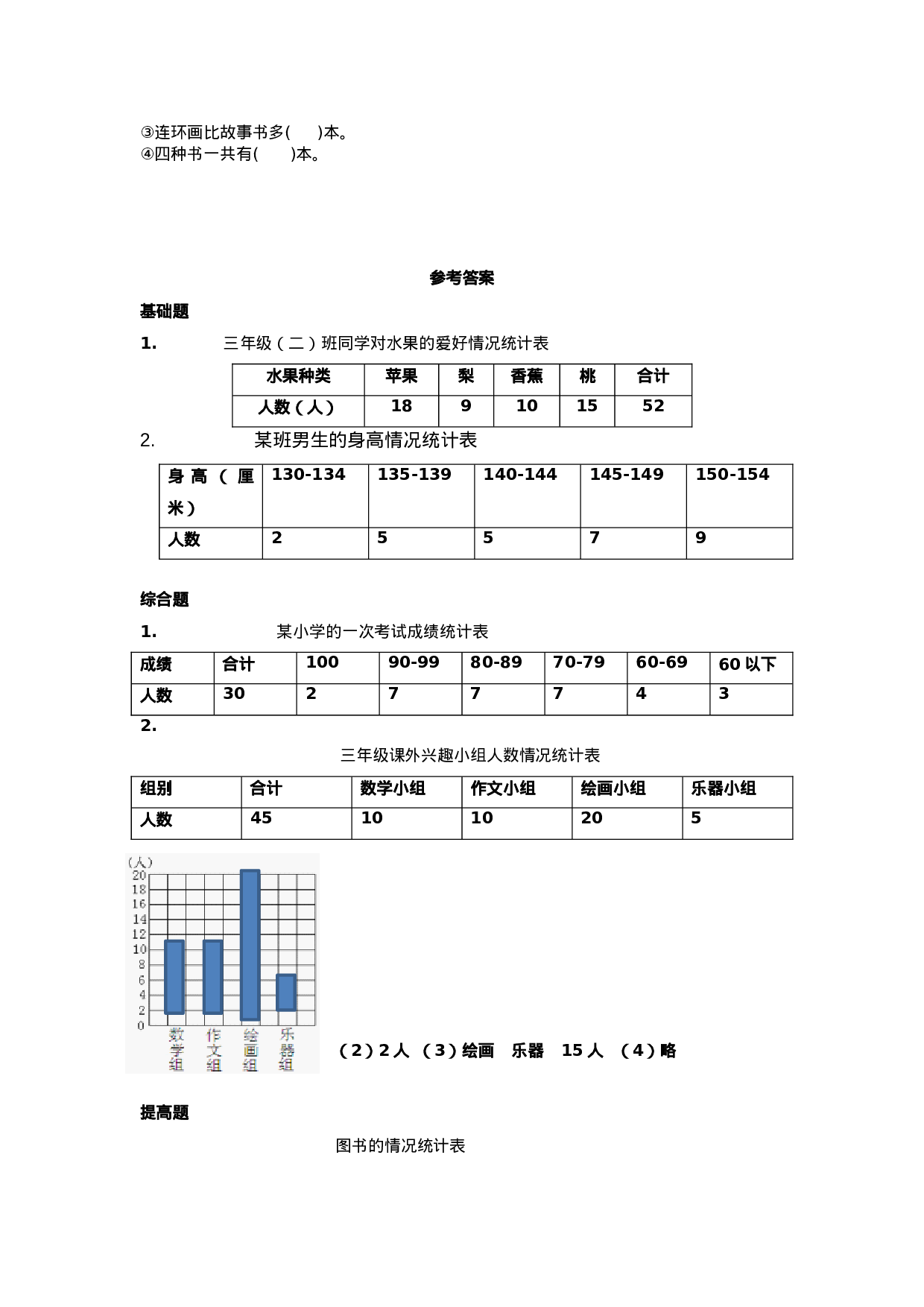
六 、 简单的 统计 活动 6.3 统计 3 基础题   1. 下面是 三 年级(二)班同学对水果的爱好情况。 请根据以上数据 制成 统计表 。 2. 下面是某班男生的身高纪录单: 请根据以上数据 制成 统计表 。 综合题 1.
三年级下册数学一课一练-6.3 统计例3 西师大版(2014秋)(含答案).docx
下载提示

1、如果首次下次不成功,可再次下载。已购买资料可重复下载,机构或个人下载自己上传的资料不回扣除积分;

2、部分文件过大,经过压缩拆分处理,如需要源文件或者下载出错请发邮件到客服邮箱yy@fanyuetech.cn备注文件名以及个人账号

3、如果浏览器启用了拦截弹出窗口,此功能有可能造成下载失败,请临时关闭拦截;

4、如果是资料包下载后请先用解压软件解压,再使用对应软件打开。软件版本较低时请及时更新;

5、如果下载使用过程中还遇到其它问题可以到【帮助中心】查看解决方法;

6、数据整理不易,最终解释权归本站所有,如有侵权等问题请与客服联系或【点此反馈