文库 教育学习 初中 初三上 数学

初中训练题(112)0810.pdf

PDF   10页   下载49   2024-07-26   浏览182359   收藏16   点赞47   评分-   8017字   免费文档
初中训练题(112)0810.pdf 第1页
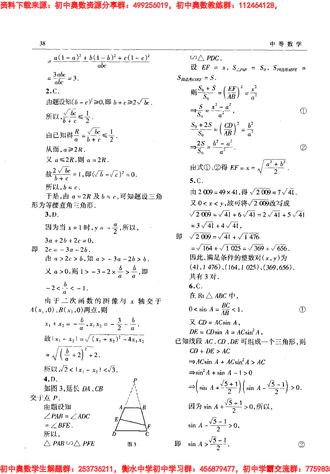
初中训练题(112)0810.pdf 第2页
初中训练题(112)0810.pdf 第3页
初中训练题(112)0810.pdf 第4页
初中训练题(112)0810.pdf 第5页
ÖеÈÊýѧ ³Îѧ ºÈØΡ²³ ա»Õõ¼(1 12) µÚһÊÔ һ ¡¢ѡÔñÌâ(ÿСÌâ7·Ö£¬¹²42·Ö) 1£®ÒÑ֪abc¡Ù0£¬ÇÒ n+b+c=0 +b¡£+c =2 £® Ôò´úÊýʽ + + µÄֵΪ( )£® (A)3 (B)һ3 (C)1 (D)һI 2£®Éè¡÷ABCµÄÈý±ß³¤·Ö±ðΪn¡¢b¡¢c£¬Æä Íâ½ÓԲ°ë¾¶
初中训练题(112)0810.pdf
下载提示

1、如果首次下次不成功,可再次下载。已购买资料可重复下载,机构或个人下载自己上传的资料不回扣除积分;

2、部分文件过大,经过压缩拆分处理,如需要源文件或者下载出错请发邮件到客服邮箱yy@fanyuetech.cn备注文件名以及个人账号

3、如果浏览器启用了拦截弹出窗口,此功能有可能造成下载失败,请临时关闭拦截;

4、如果是资料包下载后请先用解压软件解压,再使用对应软件打开。软件版本较低时请及时更新;

5、如果下载使用过程中还遇到其它问题可以到【帮助中心】查看解决方法;

6、数据整理不易,最终解释权归本站所有,如有侵权等问题请与客服联系或【点此反馈