文库 教育学习 大学 专科资料

(3.26.1)--第三章随课笔记.pdf

PDF   32页   下载76   2024-07-12   浏览26864   收藏39   点赞28   评分-   37663字   10积分
温馨提示:当前文档最多只能预览 10 页,若文档总页数超出了 10 页,请下载原文档以浏览全部内容。
(3.26.1)--第三章随课笔记.pdf 第1页
(3.26.1)--第三章随课笔记.pdf 第2页
(3.26.1)--第三章随课笔记.pdf 第3页
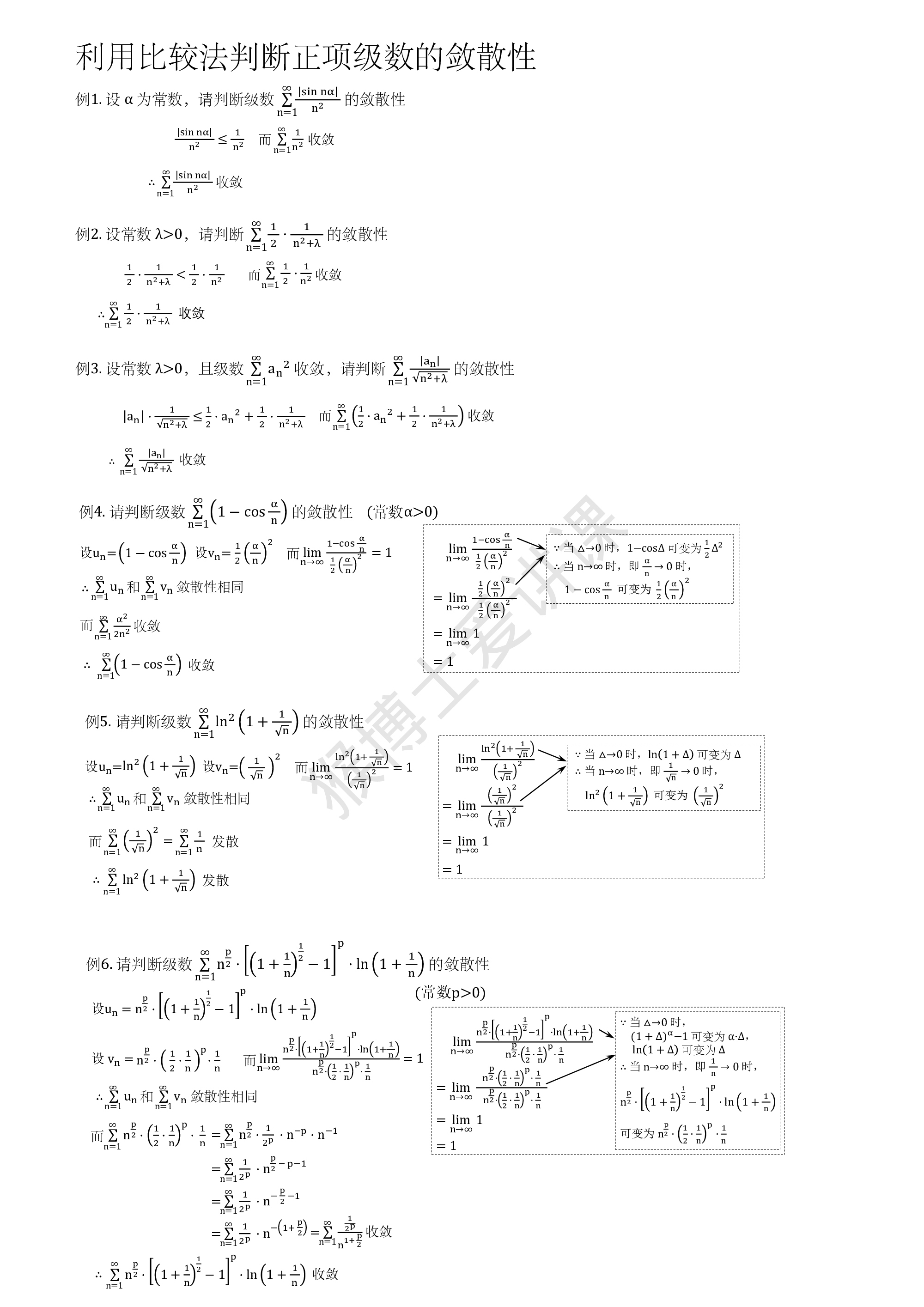
(3.26.1)--第三章随课笔记.pdf 第4页
(3.26.1)--第三章随课笔记.pdf 第5页
(3.26.1)--第三章随课笔记.pdf 第6页
剩余22页未读, 下载浏览全部
利用性质判断级数是否收敛 发散收敛 例2. 若级数σu n收敛,判断级数 σ un+un+1 2 的敛散性 n=1 ∞ n=1 ∞ σ un+un+1 2 =σ un 2 + un+1 2 n=1 ∞ n=1 ∞ n=1 ∞ =σ 1 2 u n+σ 1 2 u n+1 n=1 ∞ 收敛 收敛 收敛
(3.26.1)--第三章随课笔记.pdf
下载提示

1、如果首次下次不成功,可再次下载。已购买资料可重复下载,机构或个人下载自己上传的资料不回扣除积分;

2、部分文件过大,经过压缩拆分处理,如需要源文件或者下载出错请发邮件到客服邮箱yy@fanyuetech.cn备注文件名以及个人账号

3、如果浏览器启用了拦截弹出窗口,此功能有可能造成下载失败,请临时关闭拦截;

4、如果是资料包下载后请先用解压软件解压,再使用对应软件打开。软件版本较低时请及时更新;

5、如果下载使用过程中还遇到其它问题可以到【帮助中心】查看解决方法;

6、数据整理不易,最终解释权归本站所有,如有侵权等问题请与客服联系或【点此反馈